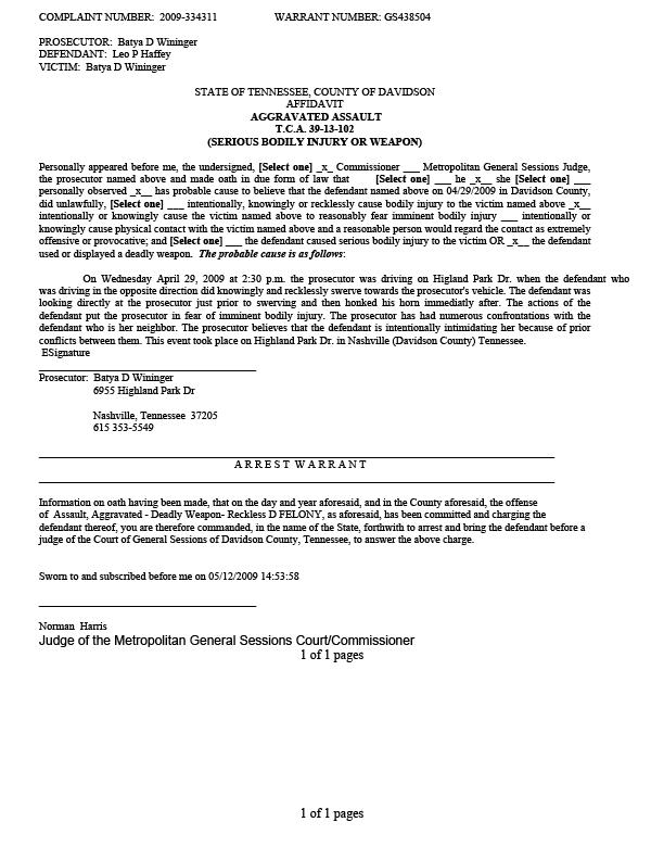
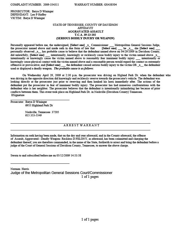
LeoHaffeyGS438504
Published October 7, 2009 at 612 × 792 in Leo Haffey, Arrested, Nashville TN, Obama thugs, Judge Dumas agenda, No bond, Suspicious affidavits, Traci Horst, Brent Horst, Nashville District Attorney office, Batya D Wininger, Nashville corruption
Bookmark the permalink.
